[prev][index][next] [index to photographs]

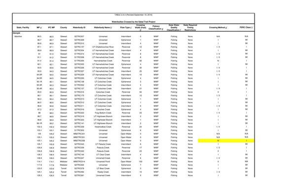
Table 2.3-3 Rev. 2016-09-19 Waterbodies Crossed by Sabal Trail Project (1 of 5)

Waterbodies Crossed by Sabal Trail 2016-09-19
Stewart Co. and Hog Creek, Colquitt Co. GA Variances
17 October 2016
Sabal Trail Transmission jsq at quarterman.org
 
Table 2.3-3 Rev. 2016-09-19 Waterbodies Crossed by Sabal Trail Project (1 of 5)
bigger

Last changed: $Date: 2016/10/18 20:09:23 $