[prev][next] [index to photographs]

ORR-packet-3-74

71 - 75
Commission packet
22 October 2013
Gretchen Quarterman gretchen at l-a-k-e.org
 
ORR-packet-3-74
bigger

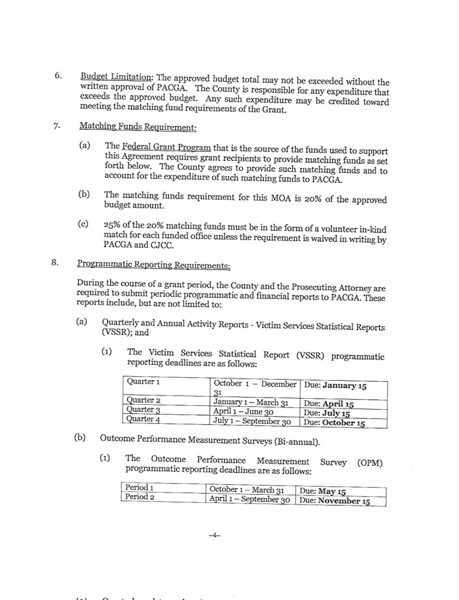
Last changed: $Date: 2013/10/25 16:36:15 $