Lowndes Area Knowledge Exchange (LAKE)
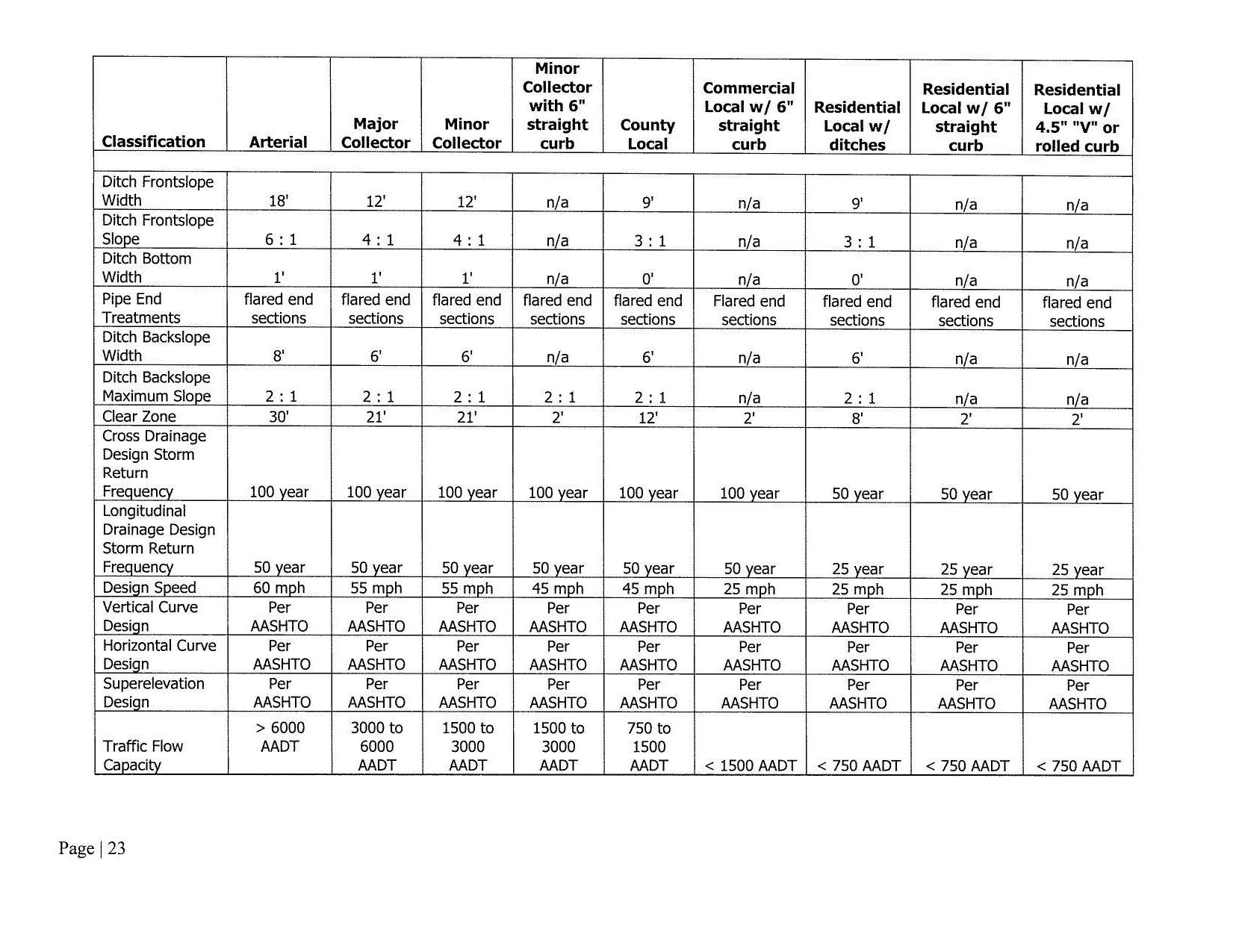
Ditch Frontslope Width to Traffic Flow Capacity
Roadway Classifications
Lowndes County Thoroughfare Plan 2018
10 April 2018
smaller
PDF
Photographs
by
Lowndes Area Knowledge Exchange (LAKE)
,
licensed by a
Creative Commons Attribution-Share Alike 3.0 U.S. License
.
Lowndes Area Knowledge Exchange (LAKE)