Lowndes Area Knowledge Exchange (LAKE)
Page 7
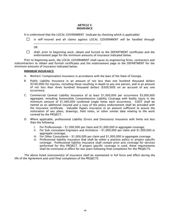
TIA Project Agreement
Packet: Lowndes County Commission @ LCC
14 May 2019
bigger
PDF
Photographs
by
Lowndes Area Knowledge Exchange (LAKE)
,
licensed by a
Creative Commons Attribution-Share Alike 3.0 U.S. License
.
Lowndes Area Knowledge Exchange (LAKE)