Lowndes Area Knowledge Exchange (LAKE)
General Requirements
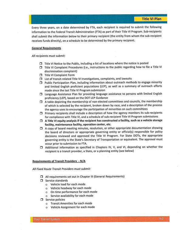
6.e. Updated Title VI Plan for Lowndes County Transit
Private Roads, Alcohol, and Water: Lowndes County Commission Packet @ LCC
26 August 2019
bigger
PDF
Photographs
by
Lowndes Area Knowledge Exchange (LAKE)
,
licensed by a
Creative Commons Attribution-Share Alike 3.0 U.S. License
.
Lowndes Area Knowledge Exchange (LAKE)