Lowndes Area Knowledge Exchange (LAKE)

[prev][index][next] [index to photographs]

No previous alcohol license

6.a. Beer, Wine, and Liquor License – Yogeshkumar B. Patel of Jay Ma Matri Inc., DBA Madison Package Store – 2603 Madison Hwy., Valdosta, GA
Private Roads, Alcohol, and Water: Lowndes County Commission Packet @ LCC
26 August 2019

 
No previous alcohol license
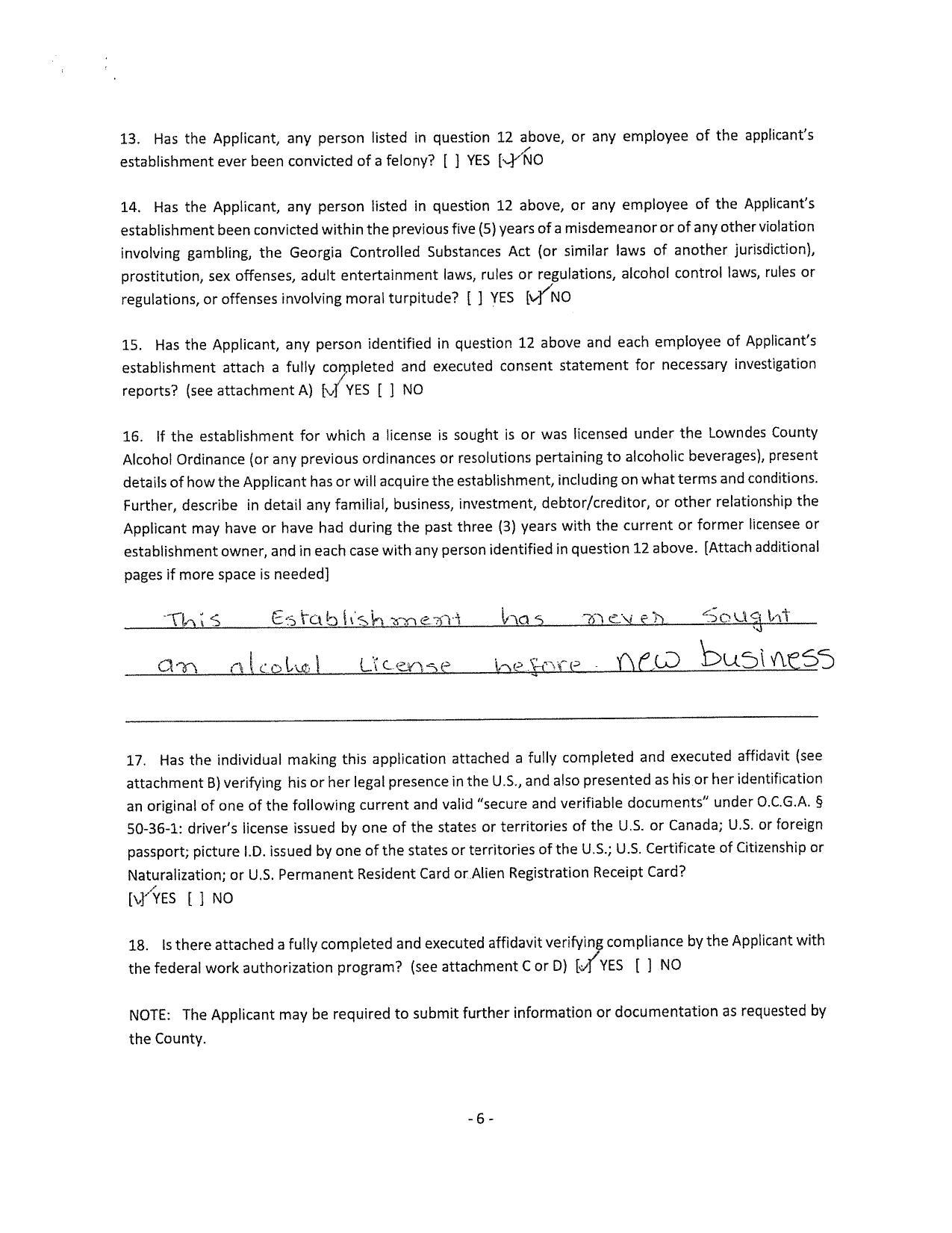
smaller PDF