Lowndes Area Knowledge Exchange (LAKE)
Alcoholic Beverage License Application
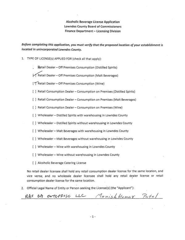
Beer and Wine License - Manishkumar Patel of Rai Ba Enterprise, LLC DBA Naylors Pantry - 8777 Hwy. 135, Naylor, GA
Packet: River Gauges, Roads, Alcohol, and Fire @ LCC
21 October 2019
bigger
PDF
Photographs
by
Lowndes Area Knowledge Exchange (LAKE)
,
licensed by a
Creative Commons Attribution-Share Alike 3.0 U.S. License
.
Lowndes Area Knowledge Exchange (LAKE)