Lowndes Area Knowledge Exchange (LAKE)
Alcoholic Beverage License Application
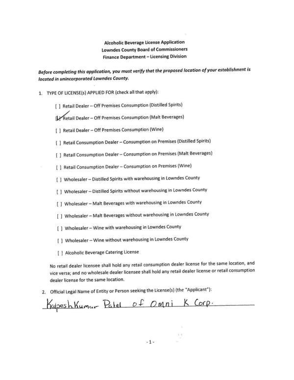
Beer license - Kalpeshkumar Patel of Omni K Corp., DBA Eagle Food Mart - 4952 Bemiss Rd., Valdosta, GA
Lcc packet
9 December 2019
bigger
PDF
Photographs
by
Lowndes Area Knowledge Exchange (LAKE)
,
licensed by a
Creative Commons Attribution-Share Alike 3.0 U.S. License
.
Lowndes Area Knowledge Exchange (LAKE)