Lowndes Area Knowledge Exchange (LAKE)

[prev][index][next] [index to photographs]

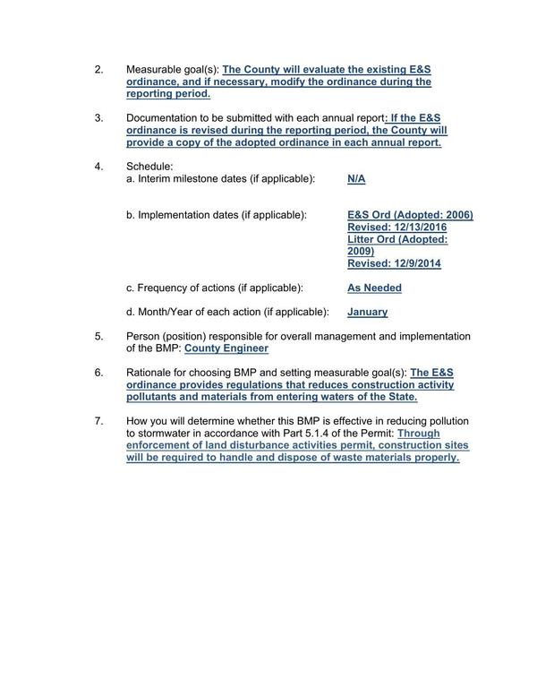
How you will determine whether this BMP is effective in reducing pollution to stormwater in accordance with Part 5.1.4 of the Permit:

MCM-D: Construction Site Storm Water Runoff Control
Lowndes County, GA, Stream Monitoring and Stormwater Permit
28 April 2020

 
How you will determine whether this BMP is effective in reducing pollution to stormwater in accordance with Part 5.1.4 of the Permit:
bigger PDF