Lowndes Area Knowledge Exchange (LAKE)
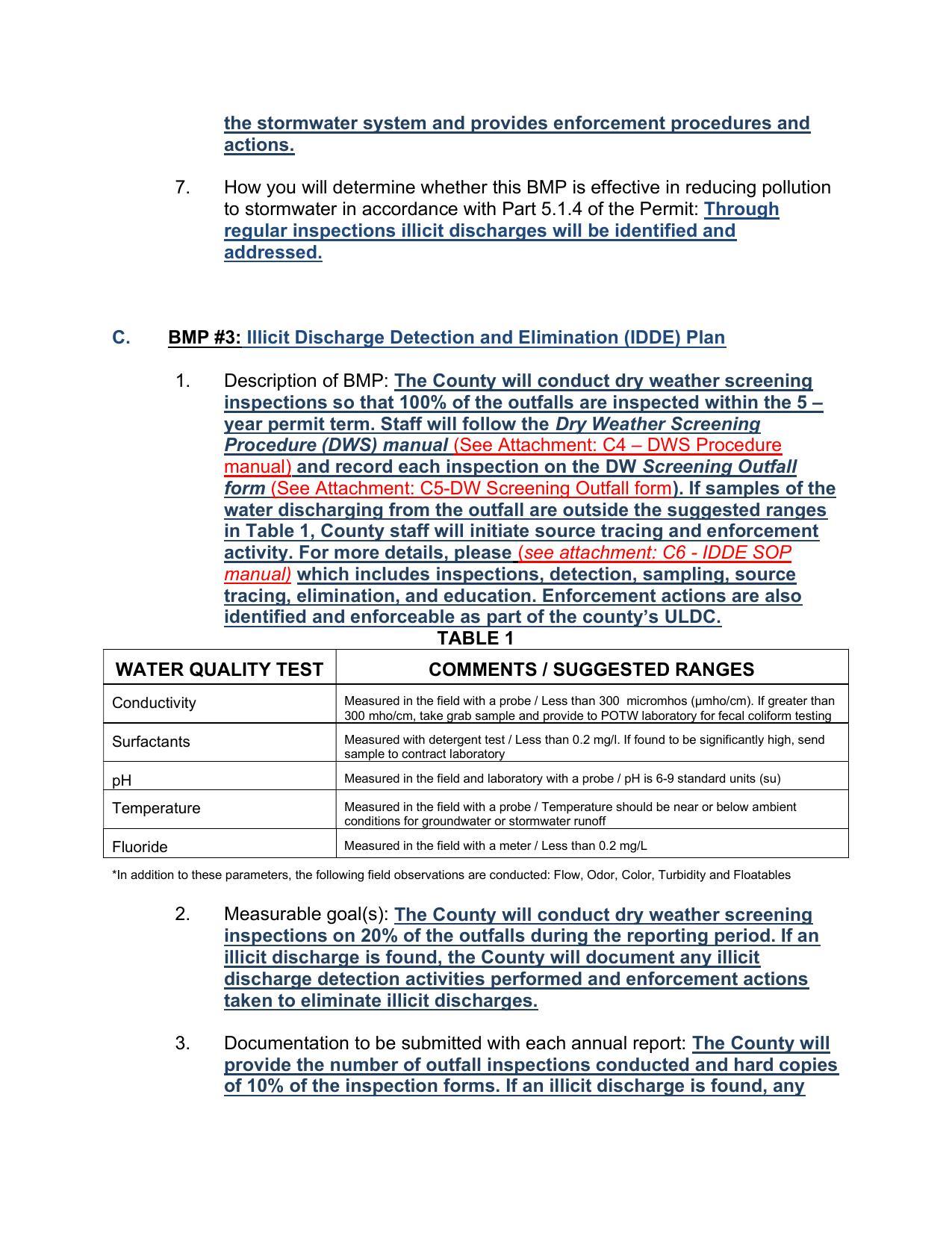
BMP #3: illicit Discharge Detection and Elimination (IDDE) Plan
MCM-C: Illicit Discharge Detection and Elimination
Lowndes County, GA, Stream Monitoring and Stormwater Permit
28 April 2020
smaller
PDF
Photographs
by
Lowndes Area Knowledge Exchange (LAKE)
,
licensed by a
Creative Commons Attribution-Share Alike 3.0 U.S. License
.
Lowndes Area Knowledge Exchange (LAKE)