Lowndes Area Knowledge Exchange (LAKE)

[prev][index][next] [index to photographs]

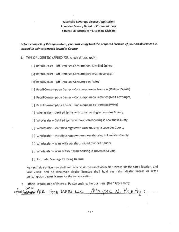
Alcoholic Beverage License Application

Beer and wine license - Mayank Pandya of Lake Park Food Mart, LLC DBA Lake Park Food Mart - 7215 Lakes Blvd, Lake Park, GA
Packet: Budget, MIDS, Rezoning, Clyattstone Road, Mosquito, Law, Fiber Optic, Alcohol @ LCC
13 July 2020

 
Alcoholic Beverage License Application
bigger PDF