Lowndes Area Knowledge Exchange (LAKE)

[prev][index][next] [index to photographs]

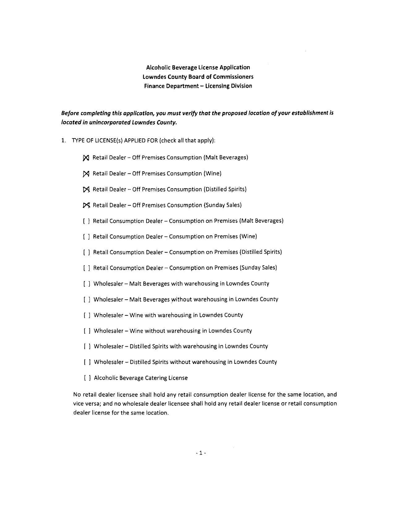
Alcoholic Beverage License Application

Beer, wine, and liquor license - Saumil Patel and Shiv Patel of Lake Park Liquor, LLC. DBA. Smitty's Liquor - 1265 Lakes Blvd, Lake Park, GA Work Session/Regular Session DATE OF MEETING: July 14, 2020
Packet: Budget, MIDS, Rezoning, Clyattstone Road, Mosquito, Law, Fiber Optic, Alcohol @ LCC
13 July 2020

 
Alcoholic Beverage License Application
smaller PDF