Lowndes Area Knowledge Exchange (LAKE)

[prev][index][next] [index to photographs]

Alcoholic Beverage License Application

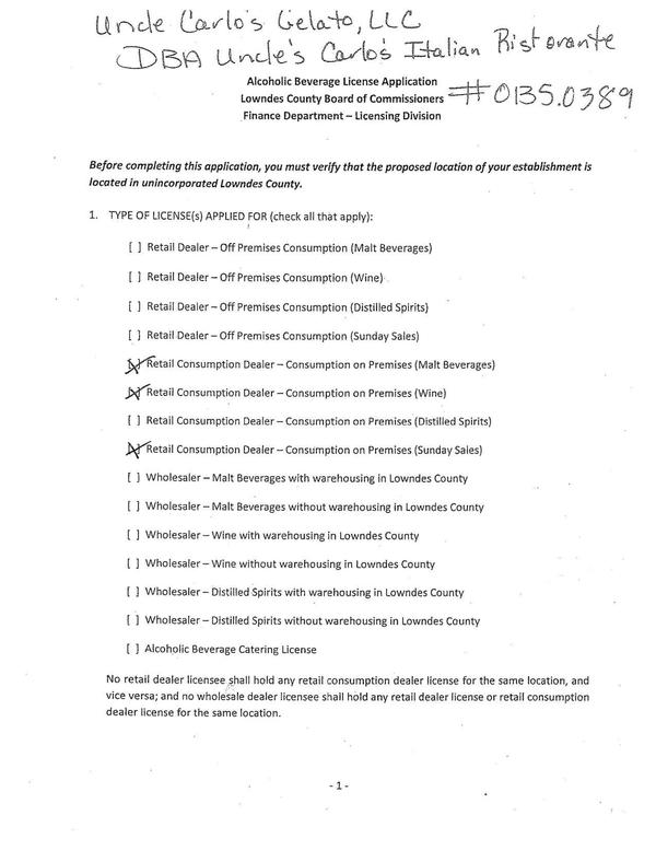
Beer and Wine License - Carlo Felice Sacco of Uncle Carlo's Gelato, LLC, DBA Uncle Carlo's Italian Ristorante - 1024 Lakes Blvd., Lake Park, GA
Education, Extension, Prisoners, Fire, Water, Sewer, Nelson Hill, Wages, Taxes, Clerk @ LCC
24 August 2020

 
Alcoholic Beverage License Application
bigger PDF