Lowndes Area Knowledge Exchange (LAKE)
Project Parameters
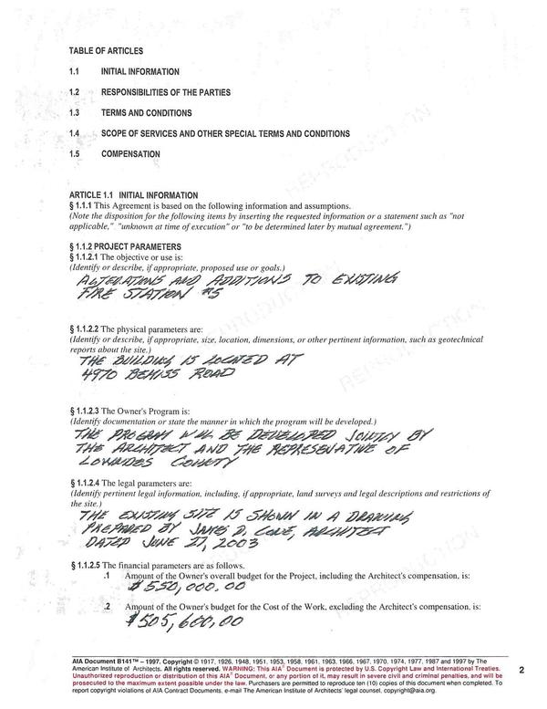
Architectural Services for Lowndes County Fire Station #5 - Bemiss Road Fire Station Alterations and Additions
Education, Extension, Prisoners, Fire, Water, Sewer, Nelson Hill, Wages, Taxes, Clerk @ LCC
24 August 2020
bigger
PDF
Photographs
by
Lowndes Area Knowledge Exchange (LAKE)
,
licensed by a
Creative Commons Attribution-Share Alike 3.0 U.S. License
.
Lowndes Area Knowledge Exchange (LAKE)