Lowndes Area Knowledge Exchange (LAKE)
Agreement, USGS, JFA
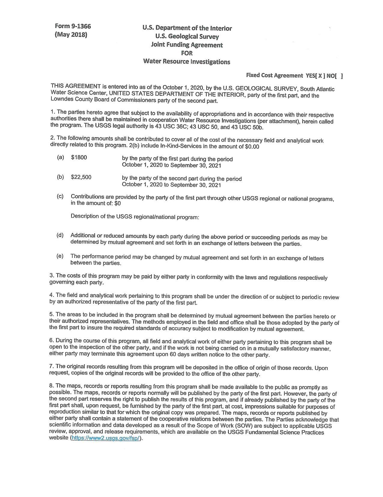
FY2021 Joint Funding Agreement with USGS
Appoint Tax Assessors, 3 water, 3 road, 1 pandemic, 1 software @ LCC
21 September 2020
smaller
PDF
Photographs
by
Lowndes Area Knowledge Exchange (LAKE)
,
licensed by a
Creative Commons Attribution-Share Alike 3.0 U.S. License
.
Lowndes Area Knowledge Exchange (LAKE)