Lowndes Area Knowledge Exchange (LAKE)

[prev][index][next] [index to photographs]

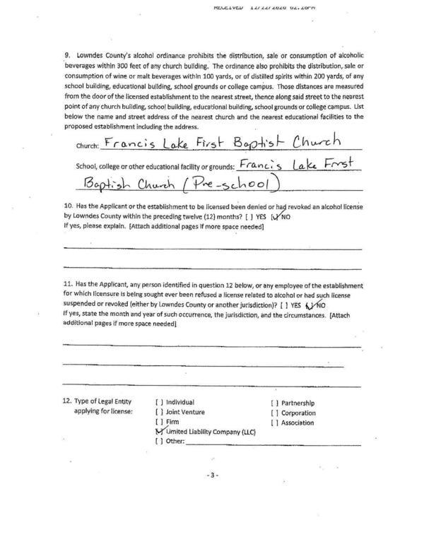
‘beverages within 300 feet of any church building. The ordinance also prohibits the distribution,.sale or

Wine License - Sanketkumar Patel & Pravinkumar Patel of DSYP, LLC DBA Raceway #1177 - 1177 Lakes Blvd., Lake Park, GA
Packet: Clyattstone Road rezoning yet again, Decorative lighting, Transportation, Alcohol, Taxes, Law, Cybersecurity, Pandemic @ LCC
25 January 2021

 
‘beverages within 300 feet of any church building. The ordinance also prohibits the distribution,.sale or
bigger PDF