Lowndes Area Knowledge Exchange (LAKE)

[prev][index][next] [index to photographs]

Page 41

Wine License - Sanketkumar Patel & Pravinkumar Patel of DSYP, LLC DBA Raceway #1177 - 1177 Lakes Blvd., Lake Park, GA
Packet: Clyattstone Road rezoning yet again, Decorative lighting, Transportation, Alcohol, Taxes, Law, Cybersecurity, Pandemic @ LCC
25 January 2021

 
Page 41
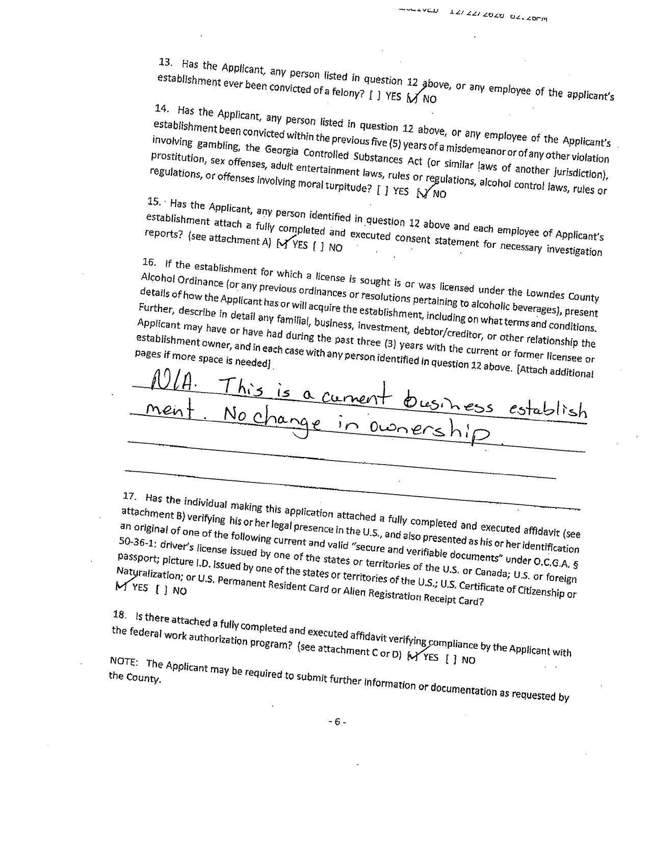
smaller PDF