Lowndes Area Knowledge Exchange (LAKE)
Alcoholic Beverage License Application
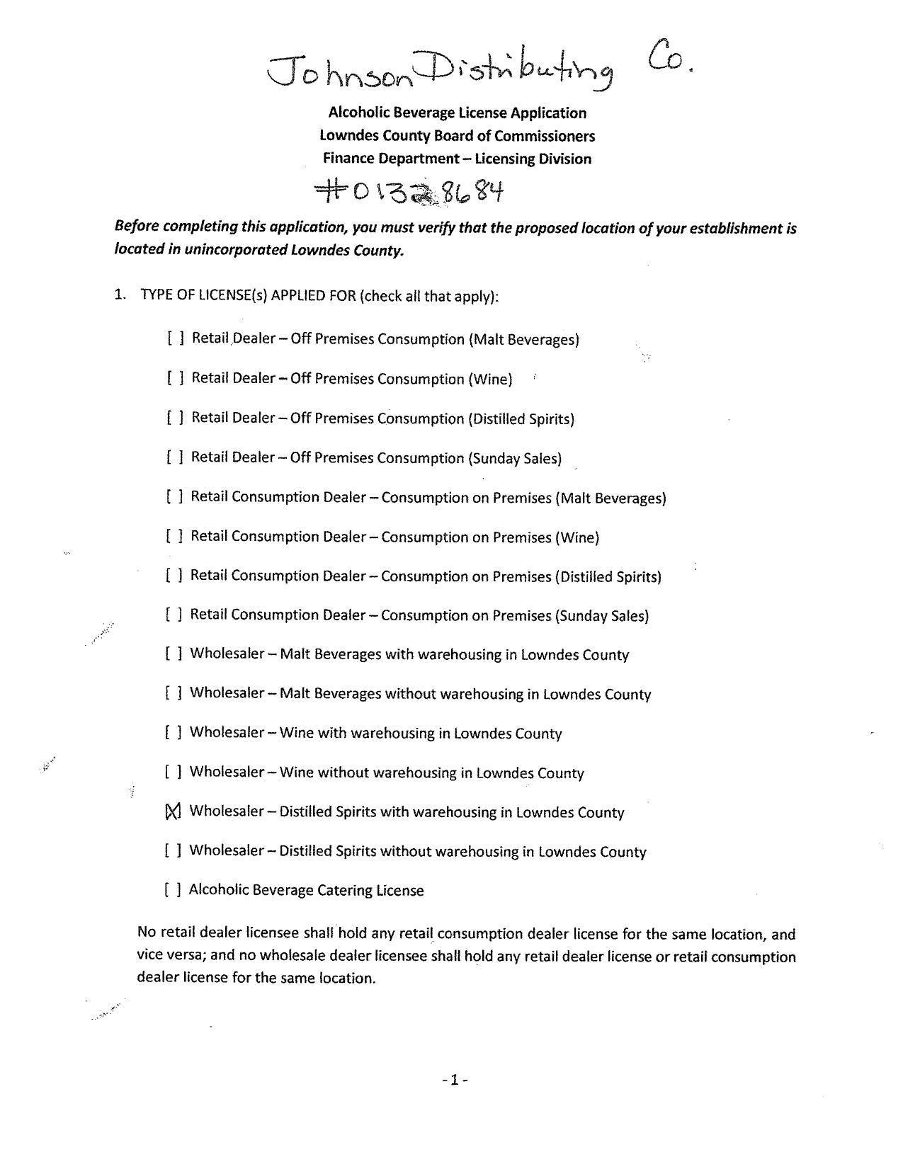
Liquor License - Richard D, Johnson of Johnson Distributing Co. -
Airport appointment, alcohol*2, courthouse, facilities, Infrastructure for The Landings, Jail hardware, fire station #5 @ LCC
26 April 2021
smaller
PDF
Photographs
by
Lowndes Area Knowledge Exchange (LAKE)
,
licensed by a
Creative Commons Attribution-Share Alike 3.0 U.S. License
.
Lowndes Area Knowledge Exchange (LAKE)