Lowndes Area Knowledge Exchange (LAKE)

[prev][index][next] [index to photographs]

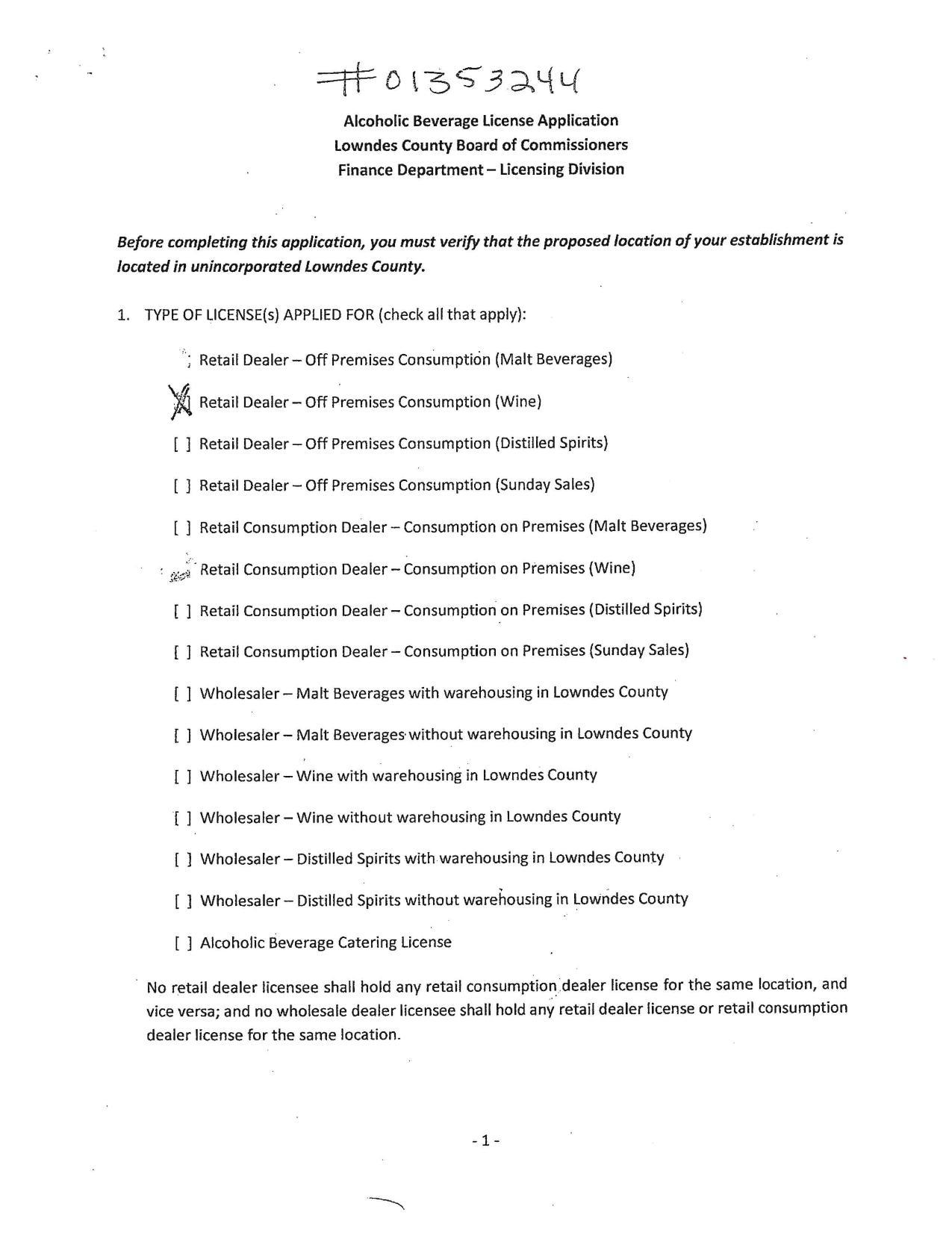
Alcoholic Beverage License Application

COMMISSION AGENDA ITEM: Wine License - Teresa D. Griffin of Georgia Pecan House, Inc., DBA Georgia Pecan House - 3473 Madison Hwy., Valdosta, GA
Lowndes Co. Dev. Auth. Reappointments, Insolvent property, subdivision infrastructure, wine license, radios, bottled water, trucks, clothes washers, mowers, tractors, backup generator
24 May 2021

 
Alcoholic Beverage License Application
smaller PDF