Lowndes Area Knowledge Exchange (LAKE)

[prev][index][next] [index to photographs]

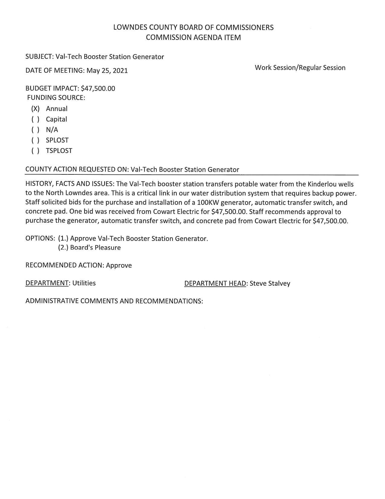
BUDGET IMPACT: $47,500.00, Val-Tech booster station transfers potable water from the Kinderlou wells to the North Lowndes area.

COMMISSION AGENDA ITEM: Val-Tech Booster Station Generator
Lowndes Co. Dev. Auth. Reappointments, Insolvent property, subdivision infrastructure, wine license, radios, bottled water, trucks, clothes washers, mowers, tractors, backup generator
24 May 2021

 
BUDGET IMPACT: $47,500.00, Val-Tech booster station transfers potable water from the Kinderlou wells to the North Lowndes area.
smaller PDF