Lowndes Area Knowledge Exchange (LAKE)
LLC
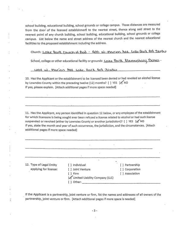
Beer License - Jayagauri Patel of Gauri & Ekta LLC, DBA Quick Stop #1 - 1255 Lakes Blvd., Lake Park, GA
Boards * 2, Sewer * 4, Court * 4, Beer, Computers, Pest, Fire, Grounds, Road truck @ LCC
21 June 2021
bigger
PDF
Photographs
by
Lowndes Area Knowledge Exchange (LAKE)
,
licensed by a
Creative Commons Attribution-Share Alike 3.0 U.S. License
.
Lowndes Area Knowledge Exchange (LAKE)