Lowndes Area Knowledge Exchange (LAKE)

[prev][index][next] [index to photographs]

Current licensed business applying for a new beer and wine license

Beer and Wine License - Jonathan Vigue with HFE Valdosta, LLC., DBA Wild Adventures Theme Park - 3766 Old Clyattville Rd., Valdosta, GA
Boards * 2, Rezonings * 4, Moody AFB wastewater @ LCC
11 July 2021

 
Current licensed business applying for a new beer and wine license
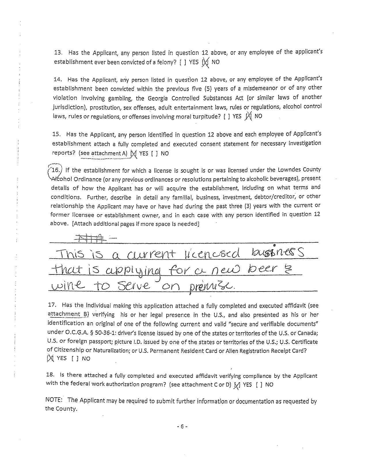
smaller PDF