Lowndes Area Knowledge Exchange (LAKE)
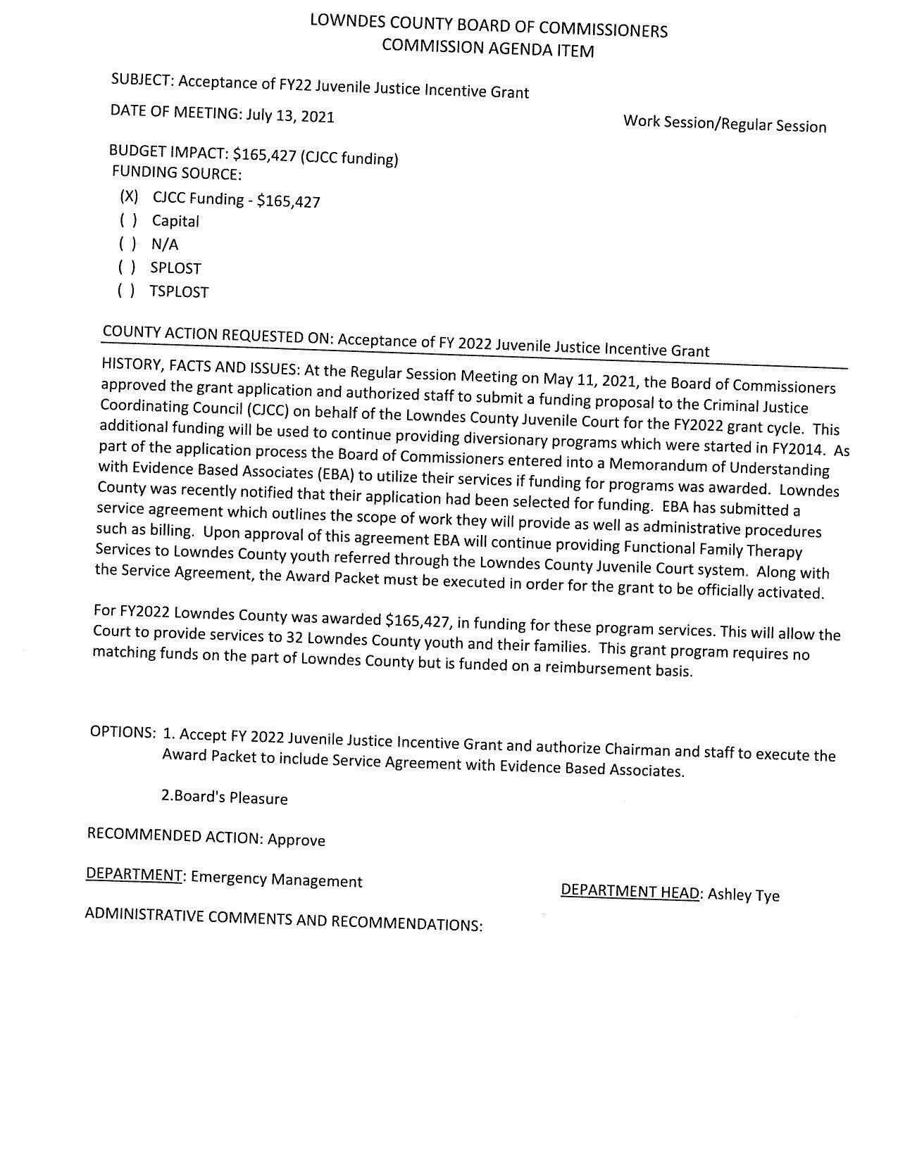
BUDGET IMPACT: $165,427 CJCC funding
Acceptance of FY22 Juvenile Justice Incentive Grant
Boards * 2, Rezonings * 4, Moody AFB wastewater @ LCC
11 July 2021
smaller
PDF
Photographs
by
Lowndes Area Knowledge Exchange (LAKE)
,
licensed by a
Creative Commons Attribution-Share Alike 3.0 U.S. License
.
Lowndes Area Knowledge Exchange (LAKE)