Lowndes Area Knowledge Exchange (LAKE)
From Lebanon, TN.
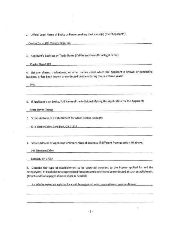
Beer and Wine License - Roger S. George with Cracker Barrel Old Country Store, Inc., DBA Cracker Barrel #89 - 4914 Timber Dr., Lake Park, GA
Beer, easement, insurance, mosquitos, prison work details @ LCC
26 July 2021
bigger
PDF
Photographs
by
Lowndes Area Knowledge Exchange (LAKE)
,
licensed by a
Creative Commons Attribution-Share Alike 3.0 U.S. License
.
Lowndes Area Knowledge Exchange (LAKE)