Lowndes Area Knowledge Exchange (LAKE)

[prev][index][next] [index to photographs]

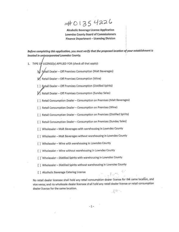
Alcoholic Beverage License Application

Beer and Wine License - Damian Hari of Ramjidada Properties, LLC., DBA Bigfoot - 6872 Lake Park Bellville Rd., Lake Park, GA
Millage, Hightower Road, Bellsouth, Val Del Estates, 911, Alapaha Plantation, Manhole Emergency, Private Roads, Alcohol * 2 @ LCC
23 August 2021

 
Alcoholic Beverage License Application
bigger PDF