Lowndes Area Knowledge Exchange (LAKE)
BUDGET IMPACT: N/A
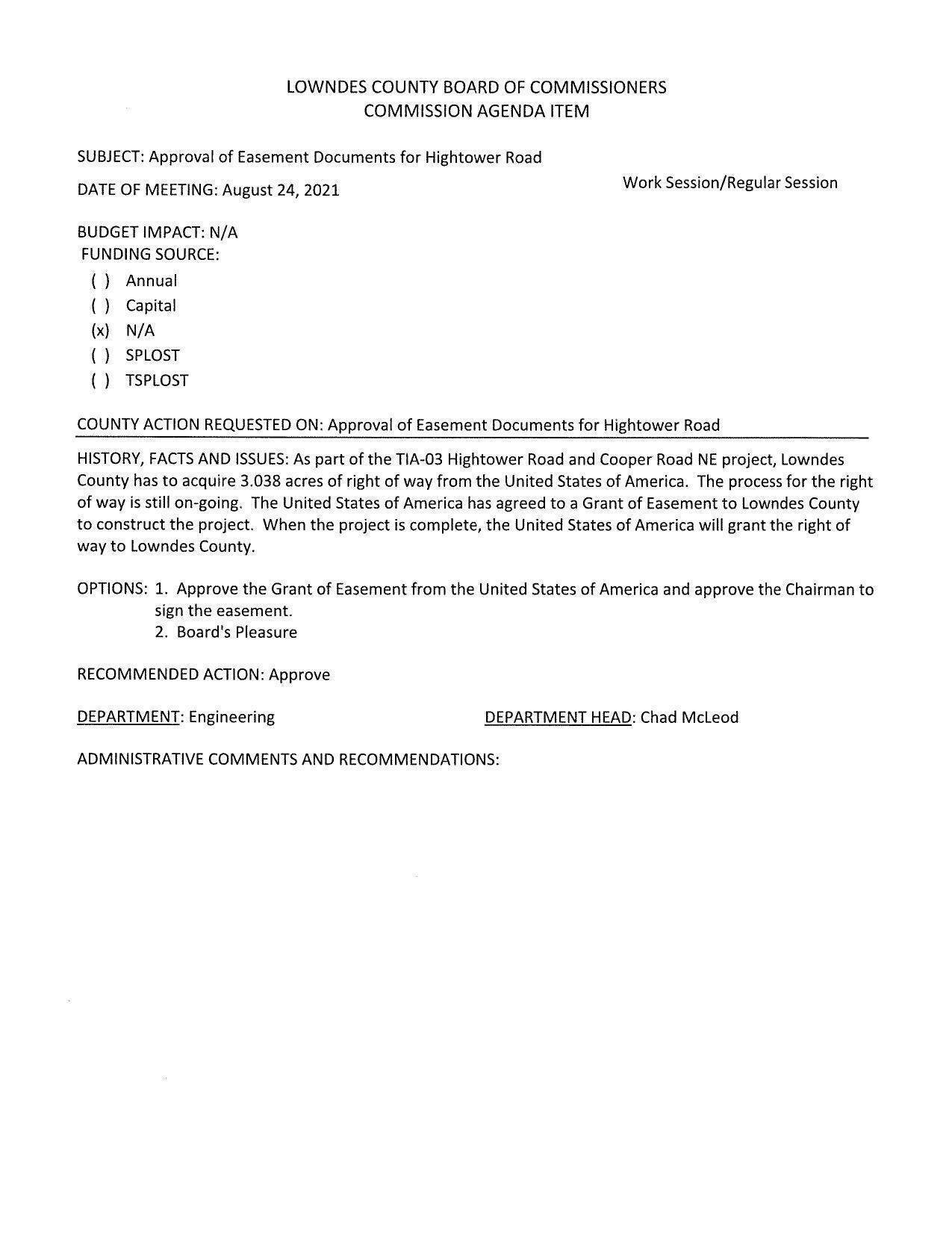
Approval of Easement Documents for Hightower Road
Millage, Hightower Road, Bellsouth, Val Del Estates, 911, Alapaha Plantation, Manhole Emergency, Private Roads, Alcohol * 2 @ LCC
23 August 2021
smaller
PDF
Photographs
by
Lowndes Area Knowledge Exchange (LAKE)
,
licensed by a
Creative Commons Attribution-Share Alike 3.0 U.S. License
.
Lowndes Area Knowledge Exchange (LAKE)