Lowndes Area Knowledge Exchange (LAKE)
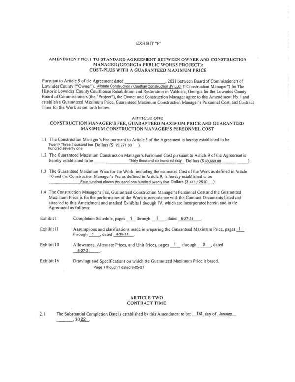
Construction Manager's Fee: $23, 271.00
Lowndes County Historic Courthouse Early Demolition and Abatement GMP (Guaranteed Maximum Price)
GMASS for Tax Assessors, Fire, Foam, Moody, RV, Courthouse, Alcohol @ LCC
13 September 2021
bigger
PDF
Photographs
by
Lowndes Area Knowledge Exchange (LAKE)
,
licensed by a
Creative Commons Attribution-Share Alike 3.0 U.S. License
.
Lowndes Area Knowledge Exchange (LAKE)