Lowndes Area Knowledge Exchange (LAKE)

[prev][index][next] [index to photographs]

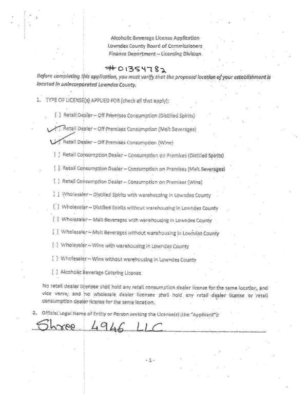
Retail off Premises Wine and Malt Beverages

Beer and Wine License - Nehaben Patel of Shree 4946, LLC, DBA Triangle Foods - 4946 US Hwy 41S, Lake Park, GA
Folsom Bridge and Skipper Bridge USGS gauge funding, beer and wine, Extensive Office Presentation @ LCC
25 October 2021

 
Retail off Premises Wine and Malt Beverages
bigger PDF