Lowndes Area Knowledge Exchange (LAKE)
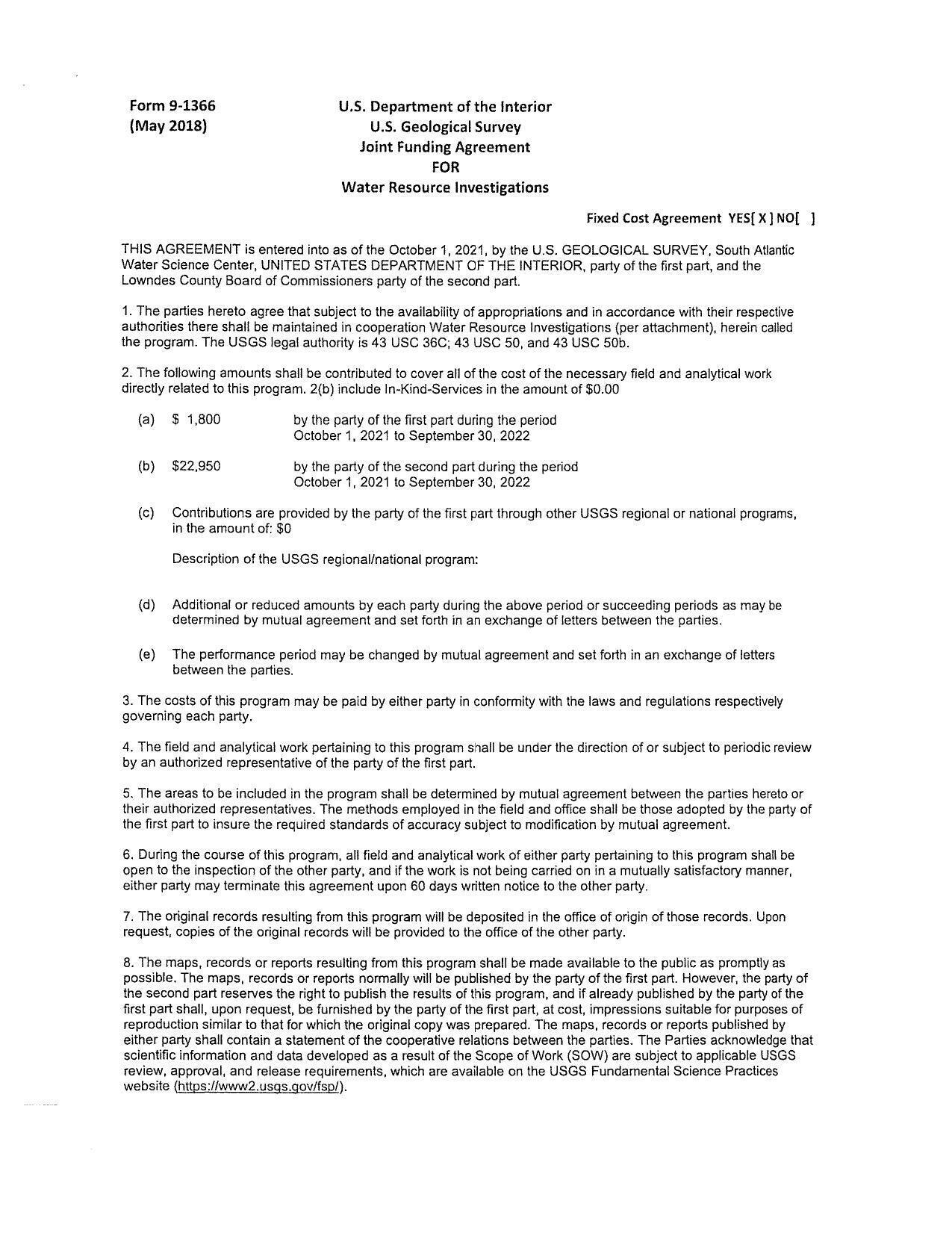
Fixed Cost Agreement up $450.00 from previous year
FY2022 Joint Funding Agreement with USGS
Folsom Bridge and Skipper Bridge USGS gauge funding, beer and wine, Extensive Office Presentation @ LCC
25 October 2021
smaller
PDF
Photographs
by
Lowndes Area Knowledge Exchange (LAKE)
,
licensed by a
Creative Commons Attribution-Share Alike 3.0 U.S. License
.
Lowndes Area Knowledge Exchange (LAKE)