Lowndes Area Knowledge Exchange (LAKE)

[prev][index][next] [index to photographs]

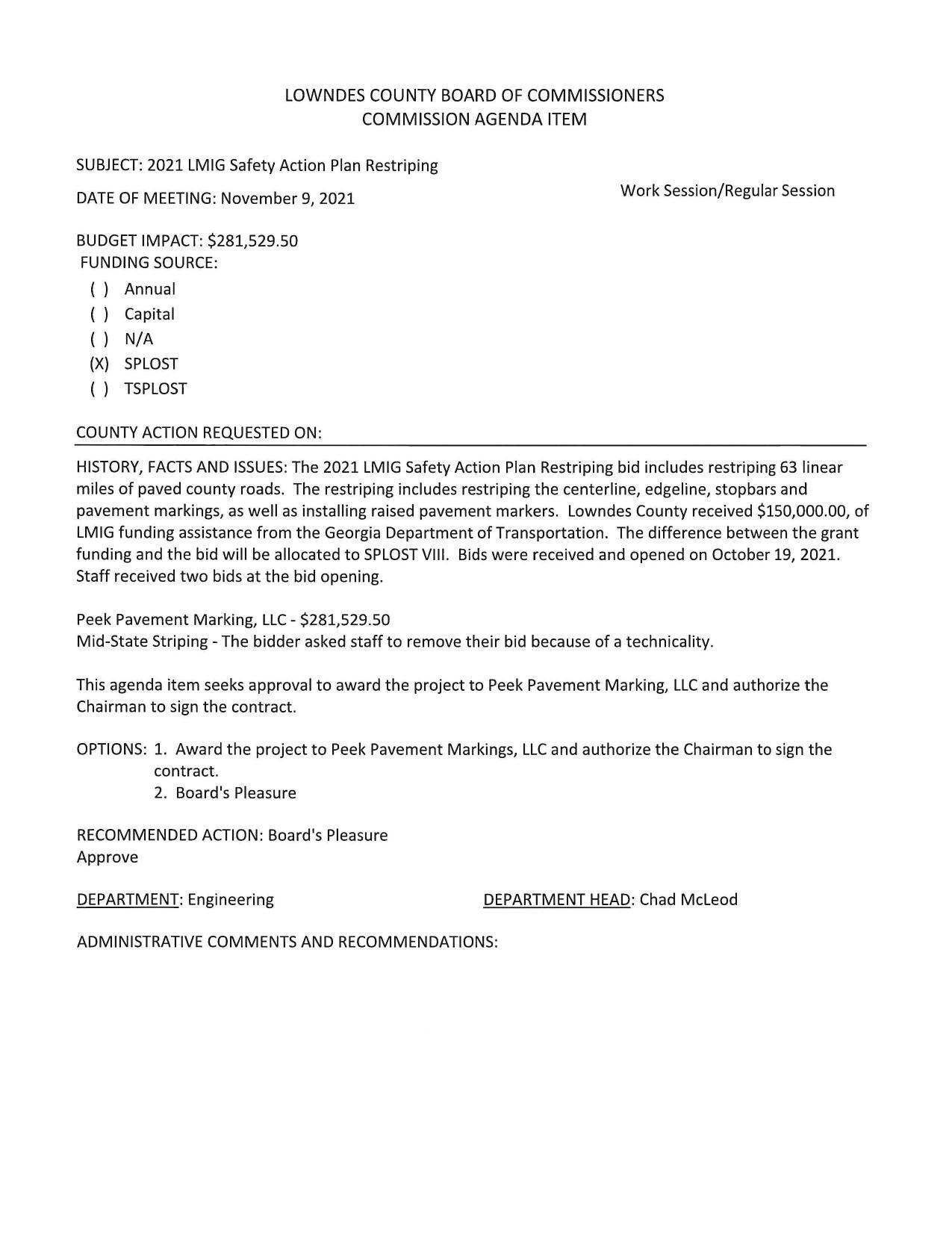
BUDGET IMPACT: $281,529.50

2021 LMIG Safety Action Plan Restriping
Comprehensive Plan approval, Hospital Authority re-appointment, 3 small rezonings, AT&T cell tower, Regional Transit, LMIG Restriping, Budget Calendar, Second Harvest, Code Red @ LCC
8 November 2021

 
BUDGET IMPACT: $281,529.50
smaller PDF