Lowndes Area Knowledge Exchange (LAKE)
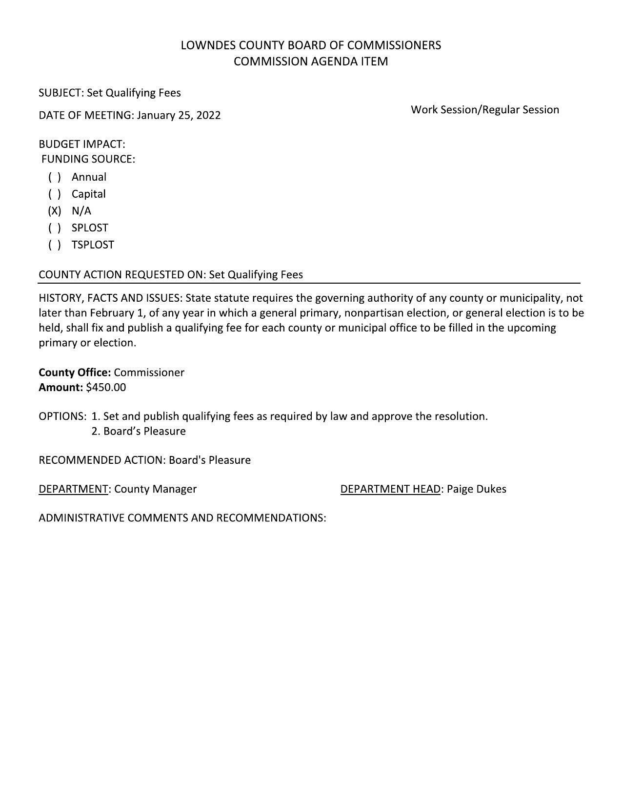
5.a. Set Qualifying Fees
Agenda Sheets
No rezonings: Courts, DA, Safety, Road, Nelson Hill Lift State @ LCC
24 January 2022
smaller
PDF
Photographs
by
Lowndes Area Knowledge Exchange (LAKE)
,
licensed by a
Creative Commons Attribution-Share Alike 3.0 U.S. License
.
Lowndes Area Knowledge Exchange (LAKE)