Lowndes Area Knowledge Exchange (LAKE)

[prev][index][next] [index to photographs]

located in unincorporated Lowndes County.

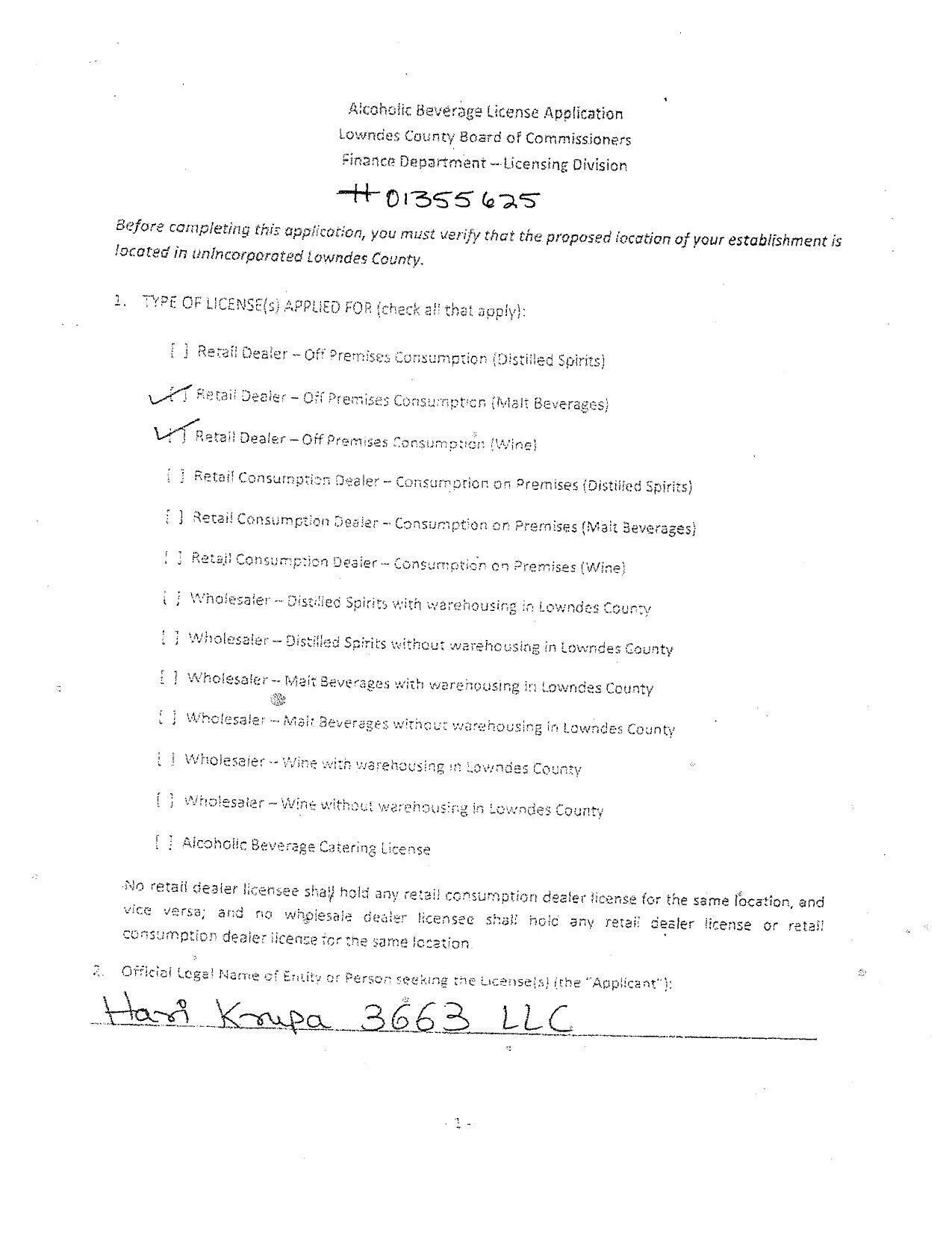
Beer and Wine License - Nehaben Patel of Hari Krupa 3663, LLC., DBA JP Foods 2 - 3663 New Statenville Hwy., Valdosta, GA
Packet: DBHDD appointment, Street Lighting, Beer and Wine, Language Access Plan @ LCC
21 February 2022

 
located in unincorporated Lowndes County.
smaller PDF