Lowndes Area Knowledge Exchange (LAKE)

[prev][index][next] [index to photographs]

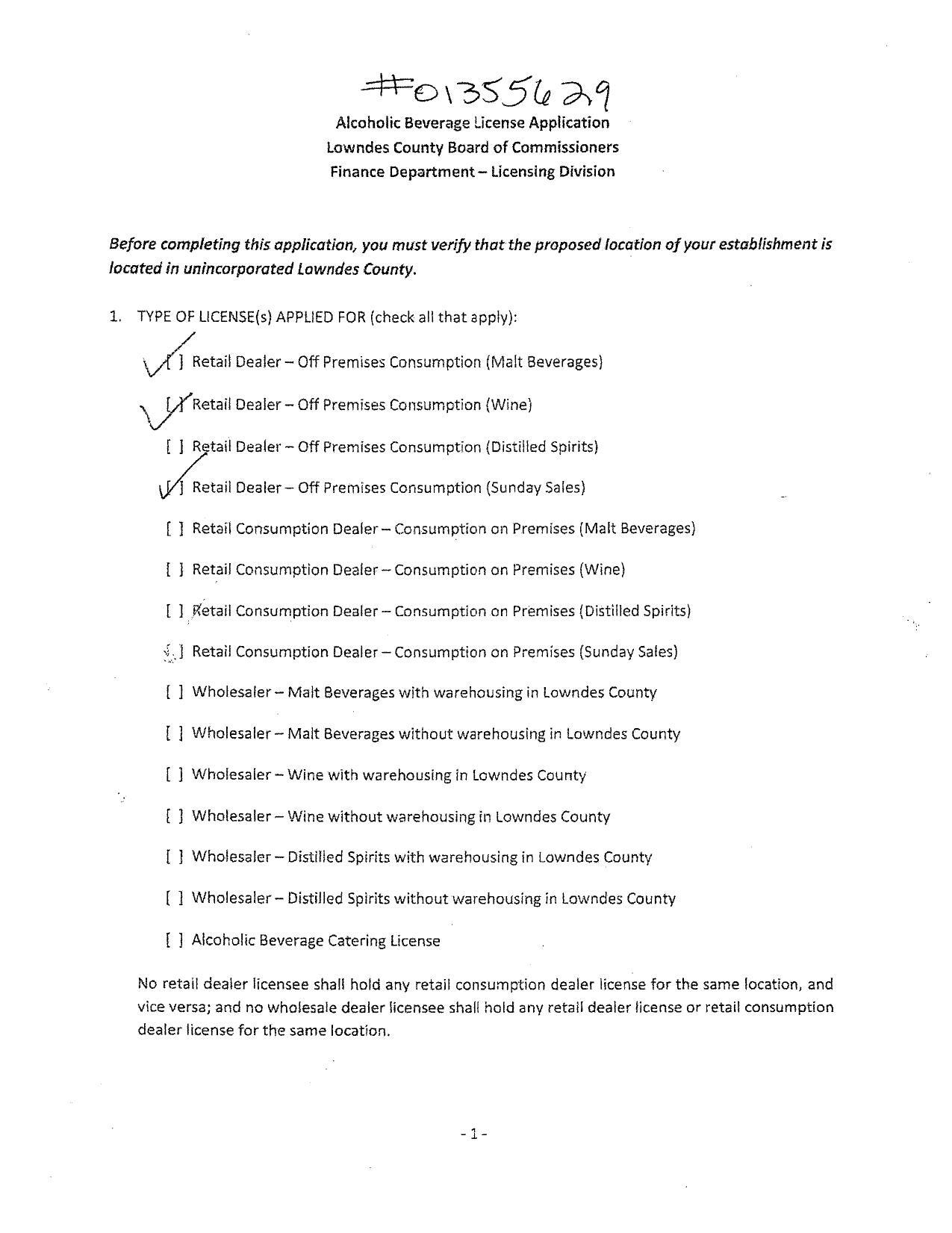
Alcoholic Beverage License Application

Beer and Wine License - Manishkumar Patel of Busy Stop, LLC., DBA Misha Food Mart - 5139 Madison Hwy., Valdosta, GA
Packet: DBHDD appointment, Street Lighting, Beer and Wine, Language Access Plan @ LCC
21 February 2022

 
Alcoholic Beverage License Application
smaller PDF