Lowndes Area Knowledge Exchange (LAKE)

[prev][index][next] [index to photographs]

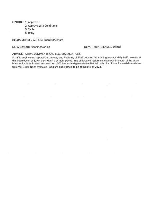
GLPC 8:2 for denial. Staff wants second entrance. Plans for two left-turn lanes from Val Del to North Valdosta Road are anticipated to be complete by 2023.

REZ-2022-07 Hayden Park, Camelot Crossing & Val Del Rd, ~149 acres, from R-1 to C-G, P-D, and R-10
Subdivisions subsidized by roads, EV charging, VAWA, Soccer complex, Courtroom AV @ LCC
11 April 2022

 
GLPC 8:2 for denial. Staff wants second entrance. Plans for two left-turn lanes from Val Del to North Valdosta Road are anticipated to be complete by 2023.
bigger PDF