Lowndes Area Knowledge Exchange (LAKE)

[prev][index][next] [index to photographs]

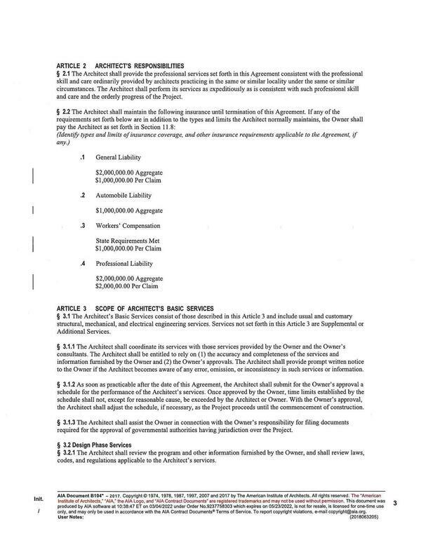
information furnished by the Owner and (2) the Owner’s approvals. The Architect shall provide prompt written notice

Lowndes County Jail Medical Addition Owner and Architect Agreement
Subdivisions subsidized by roads, EV charging, VAWA, Soccer complex, Courtroom AV @ LCC
11 April 2022

 
information furnished by the Owner and (2) the Owner’s approvals. The Architect shall provide prompt written notice
bigger PDF