Lowndes Area Knowledge Exchange (LAKE)

[prev][index][next] [index to photographs]

lien notice or filing deadlines prior to resolution of the matter by mediation or by binding dispute resolution.

Lowndes County Jail Medical Addition Owner and Architect Agreement
Subdivisions subsidized by roads, EV charging, VAWA, Soccer complex, Courtroom AV @ LCC
11 April 2022

 
lien notice or filing deadlines prior to resolution of the matter by mediation or by binding dispute resolution.
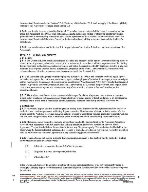
bigger PDF