Lowndes Area Knowledge Exchange (LAKE)

[prev][index][next] [index to photographs]

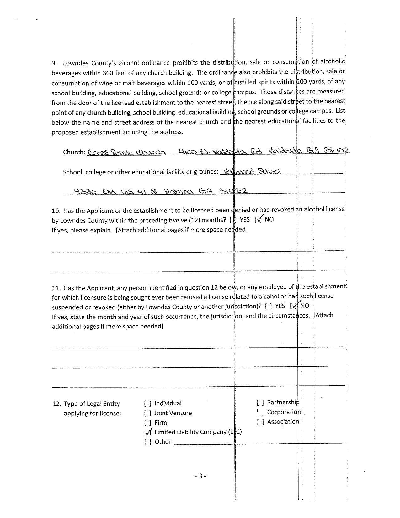
Cross Pointe Church, Valwood School

Beer, Wine and Liquor License - Mehulkumar Patel of Fast Break Liquor, LLC, DBA Fast Break Liquors - 4593 North Valdosta Road, Suite B, Valdosta, GA
Three appointments, one subdivision streets, and alcohol @ LCC
9 May 2022

 
Cross Pointe Church, Valwood School
smaller PDF