Lowndes Area Knowledge Exchange (LAKE)
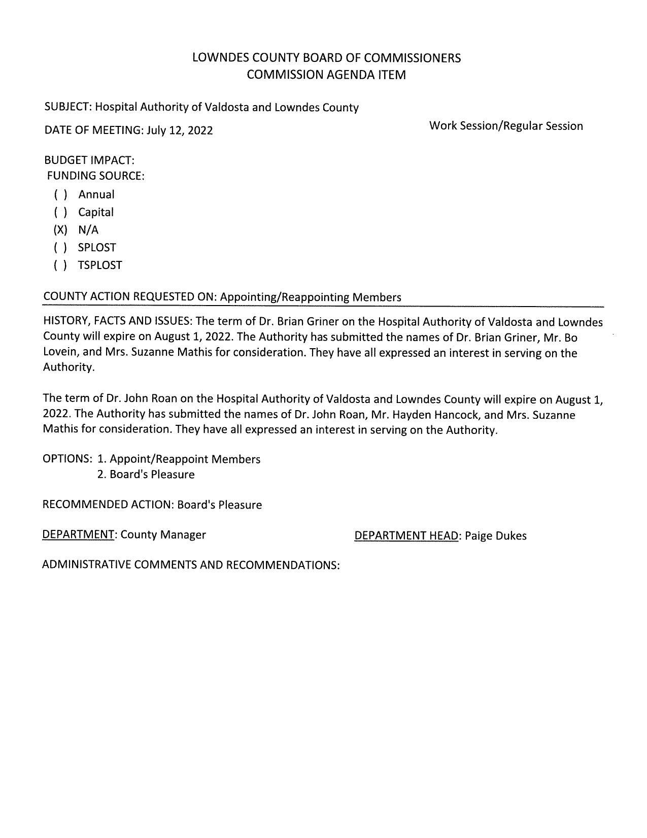
Terms expiring of Brian Griner and John Roan; them and three other candidates for those two slots.
Hospital Authority of Valdosta and Lowndes County
Packet: 2 appointments, 2 rezonings, road abandonment @ LCC
11 July 2022
smaller
PDF
Photographs
by
Lowndes Area Knowledge Exchange (LAKE)
,
licensed by a
Creative Commons Attribution-Share Alike 3.0 U.S. License
.
Lowndes Area Knowledge Exchange (LAKE)