Lowndes Area Knowledge Exchange (LAKE)
- Homestead Exemption Form
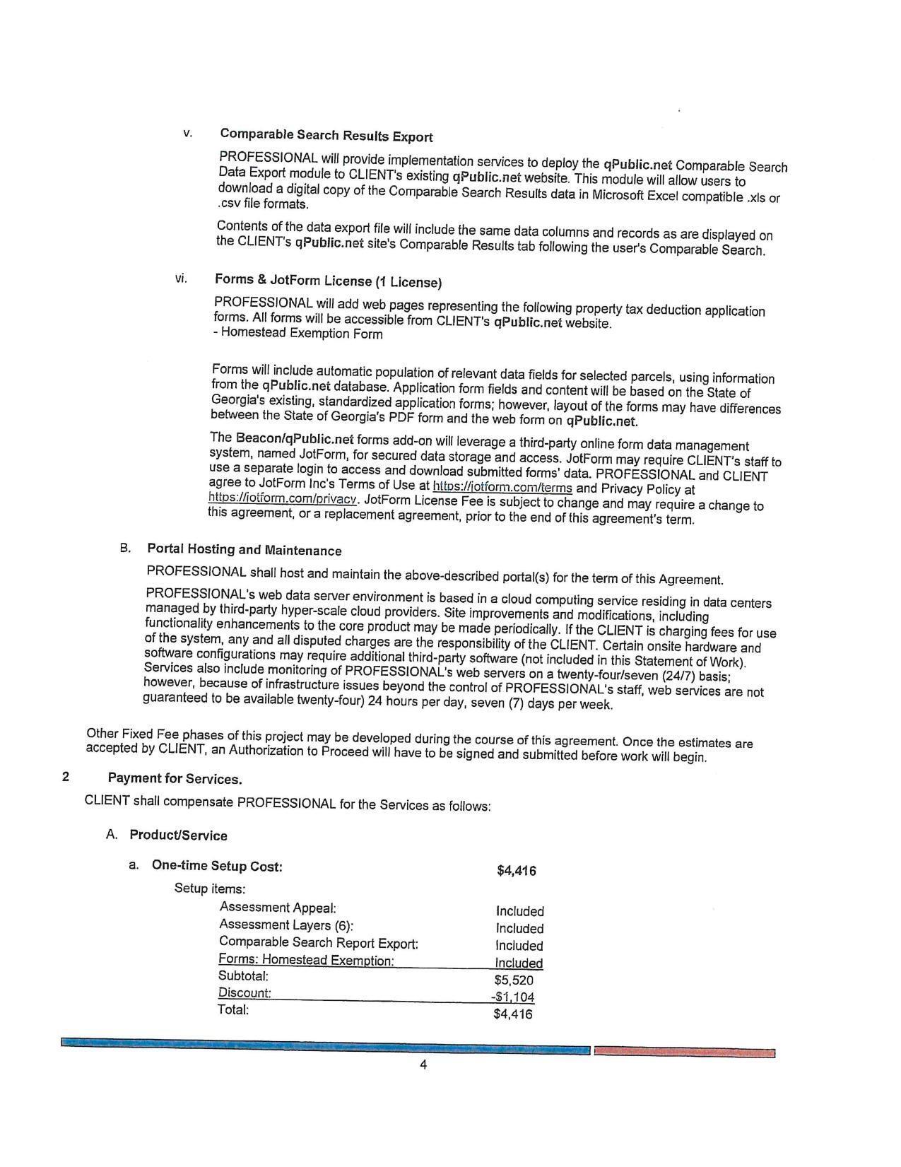
QPublic Appeals Module
Packet: Juvenile Justice, Manholes, Tax Appeals Module, Subdivision lighting @ LCC
22 August 2022
smaller
PDF
Photographs
by
Lowndes Area Knowledge Exchange (LAKE)
,
licensed by a
Creative Commons Attribution-Share Alike 3.0 U.S. License
.
Lowndes Area Knowledge Exchange (LAKE)