Lowndes Area Knowledge Exchange (LAKE)

[prev][index][next] [index to photographs]

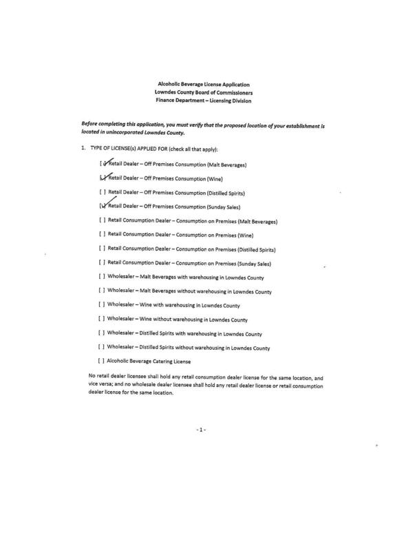
Alcoholic Beverage License Application

Beer and Wine License - Parulben Patel of Burlington, LLC., DBA Kraftland - 4592 North Valdosta Road, Suite B, Valdosta, GA
Sewage LAS expansion testing, Old Clyattville Road widening, Replace county palace chiller @ LCC
26 September 2022

 
Alcoholic Beverage License Application
bigger PDF