Lowndes Area Knowledge Exchange (LAKE)

[prev][index][next] [index to photographs]

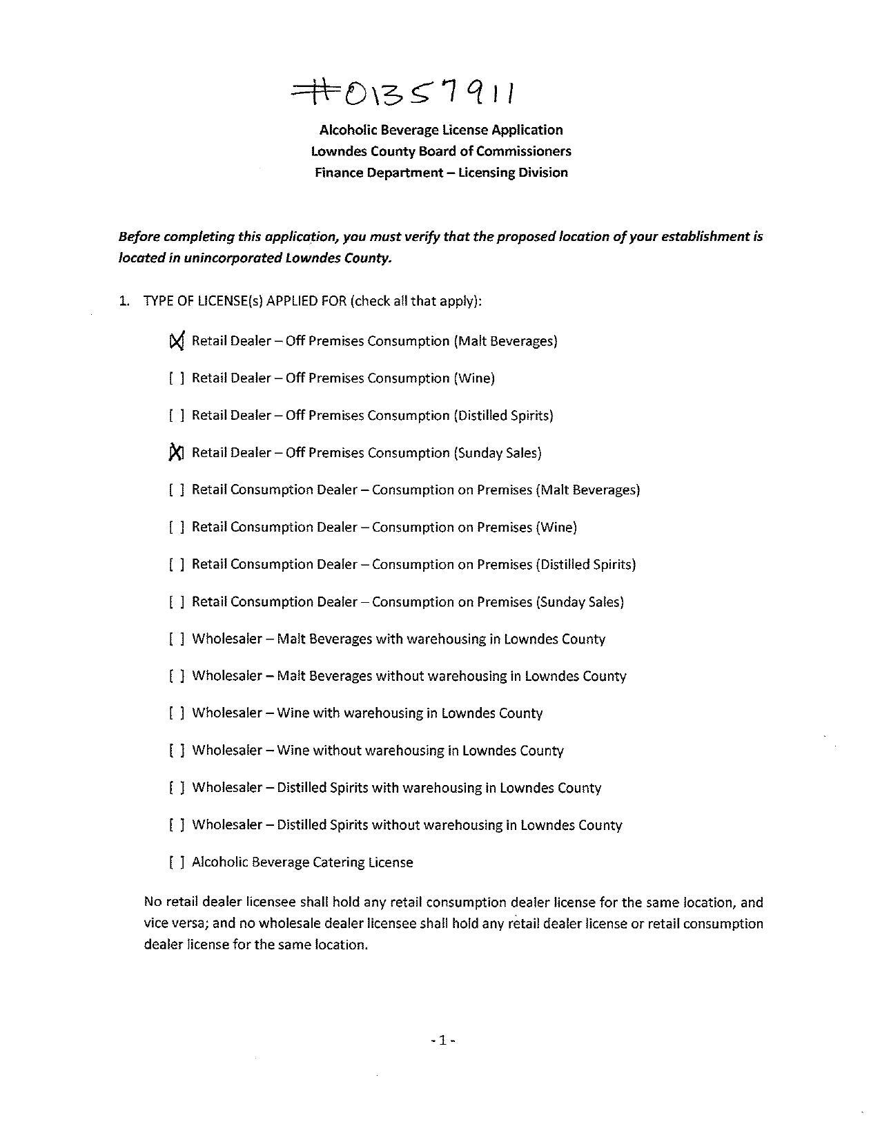
Alcoholic Beverage License Application

Beer License - Rushikalaben Patel of Rudra 14, LLC, DBA Bemiss Quick Mart - 4357 Bemiss Rd., Valdosta, GA
Two rezonings, Pictometry, Lift Station quit claim, Val Del Estates subdivision infrastructure @ LCC
10 October 2022

 
Alcoholic Beverage License Application
smaller PDF