Lowndes Area Knowledge Exchange (LAKE)
Agreement
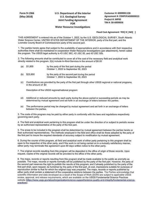
Joint Funding Agreement with USGS for Stream Gauge Maintenance
Packet: Lift Station & Force Main, River Gauge, Transit, Code Red, Facilities, TIA, SDS, etc. @ LCC
24 October 2022
bigger
PDF
Photographs
by
Lowndes Area Knowledge Exchange (LAKE)
,
licensed by a
Creative Commons Attribution-Share Alike 3.0 U.S. License
.
Lowndes Area Knowledge Exchange (LAKE)