Lowndes Area Knowledge Exchange (LAKE)
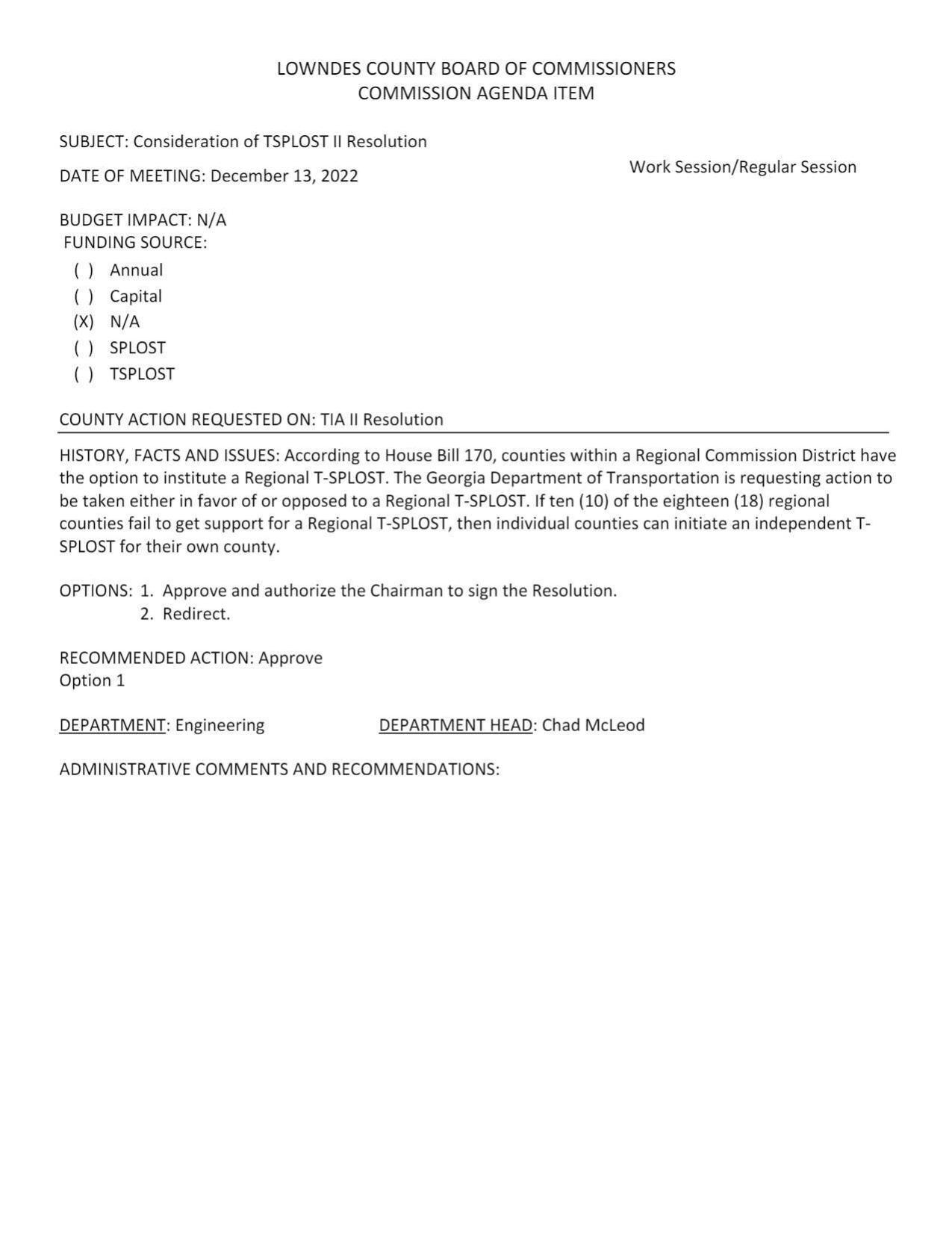
BUDGET IMPACT: N/A Consideration of TSPLOST II Resolution
Storage Area Network Replacement
Sprawl on Skipper Bridge Road and Purchase of Land Between the Rivers @ LCC
12 December 2022
smaller
PDF
Photographs
by
Lowndes Area Knowledge Exchange (LAKE)
,
licensed by a
Creative Commons Attribution-Share Alike 3.0 U.S. License
.
Lowndes Area Knowledge Exchange (LAKE)