Lowndes Area Knowledge Exchange (LAKE)
any contract to which Contractor is a party that is subject to O.C.G.A. § 13-10-91 and hereby verifies its compliance
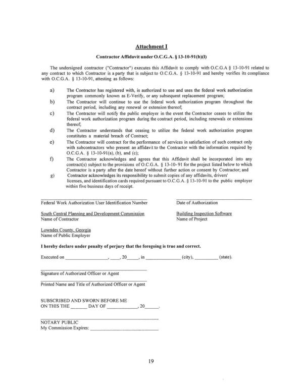
MyGov Intergovernmental Agreement
Packet: Dollar General to be tabled @ LCC
12 December 2022
bigger
PDF
Photographs
by
Lowndes Area Knowledge Exchange (LAKE)
,
licensed by a
Creative Commons Attribution-Share Alike 3.0 U.S. License
.
Lowndes Area Knowledge Exchange (LAKE)