Lowndes Area Knowledge Exchange (LAKE)
Page 138
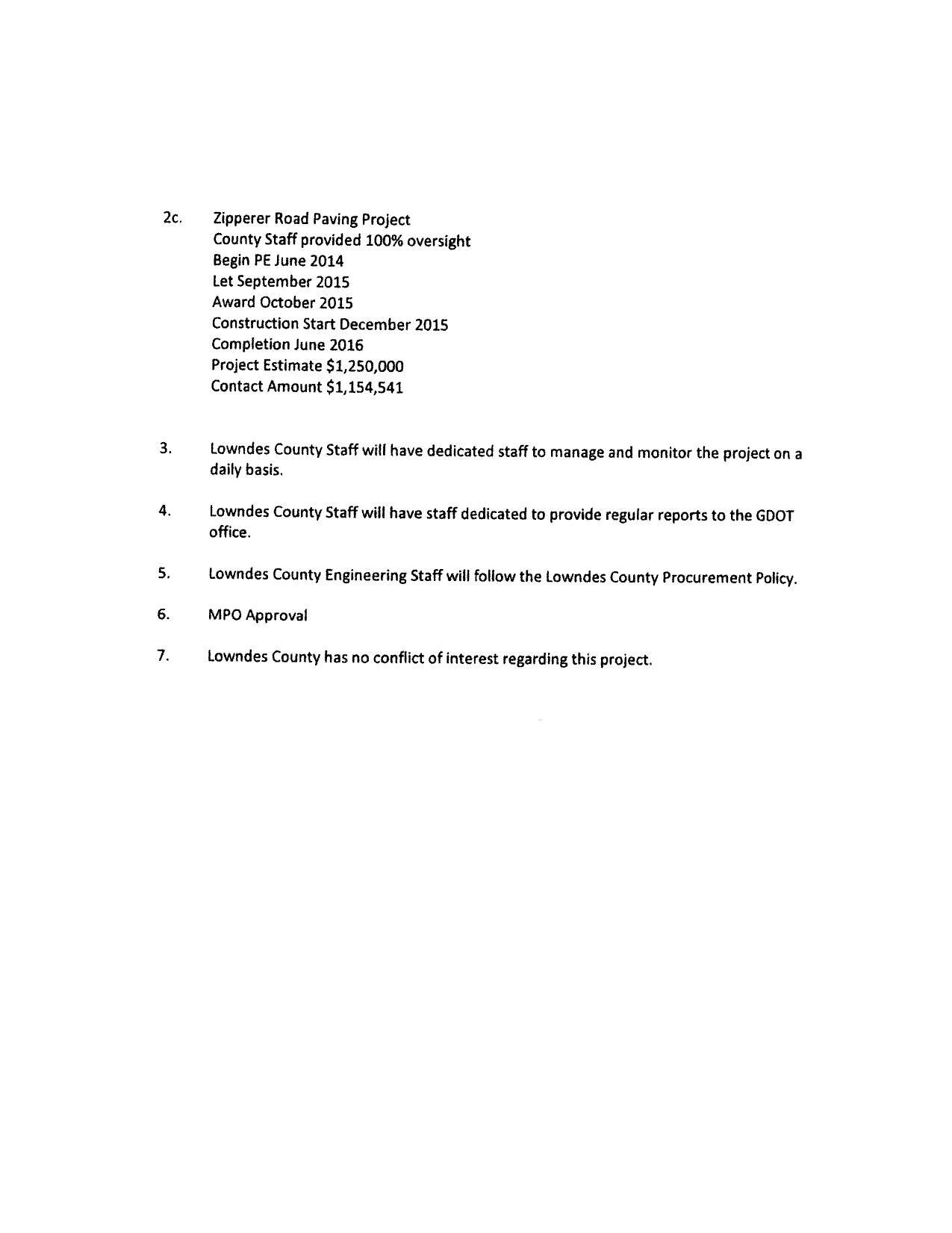
Transportation Improvement Act (TIA) - Twin Lakes Road Local Delivery Agreement
Packet: Dollar General to be tabled @ LCC
12 December 2022
smaller
PDF
Photographs
by
Lowndes Area Knowledge Exchange (LAKE)
,
licensed by a
Creative Commons Attribution-Share Alike 3.0 U.S. License
.
Lowndes Area Knowledge Exchange (LAKE)