Lowndes Area Knowledge Exchange (LAKE)

[prev][index][next] [index to photographs]

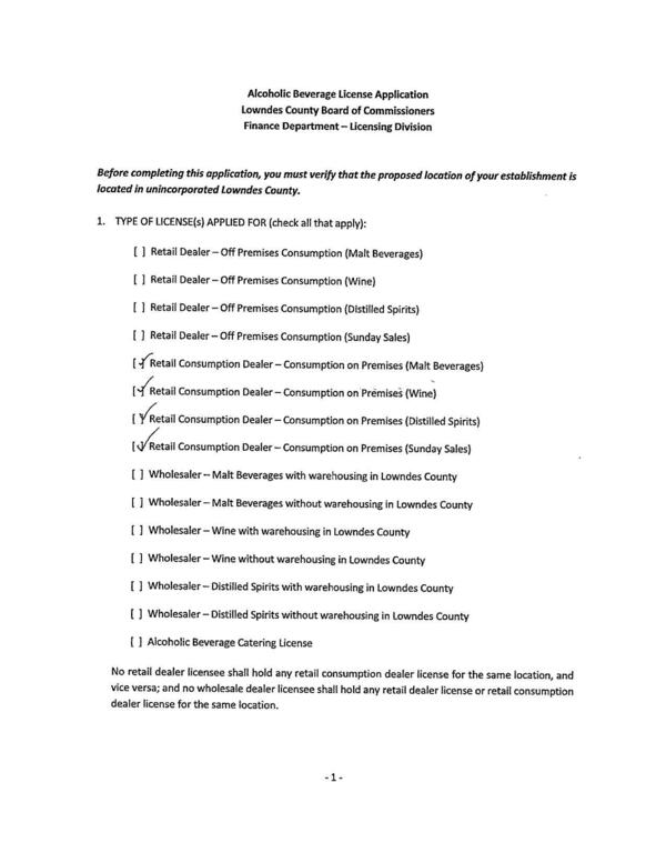
Alcoholic Beverage License Application

Beer, Wine and Liquor License - Travis Ostrom of TKO-SC, LLC DBA Stone Creek Golf Club and Restaurant - 4553 Greenway Dr., Valdosta, GA
Packet: Alcohol, Juveniles, Golf Course, Subdivision infrastructure, and solid waste @ LCC
24 April 2023

 
Alcoholic Beverage License Application
bigger PDF