Lowndes Area Knowledge Exchange (LAKE)

[prev][index][next] [index to photographs]

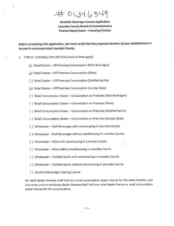
Alcoholic Beverage License Application

Beer and Wine License - Hardik Patel of DHWEA #1, Inc. DBA Bigfoot Travel Center #926 - 7212 Lakes Blvd., Lake Park, GA
Packet: Wild Adventures glamping, AB Motorsports withdrawn, a road abandonment and RoW purchase, Clyattville Community Center, plus alcohol @ LCC
8 May 2023

 
Alcoholic Beverage License Application
bigger PDF