Lowndes Area Knowledge Exchange (LAKE)

[prev][index][next] [index to photographs]

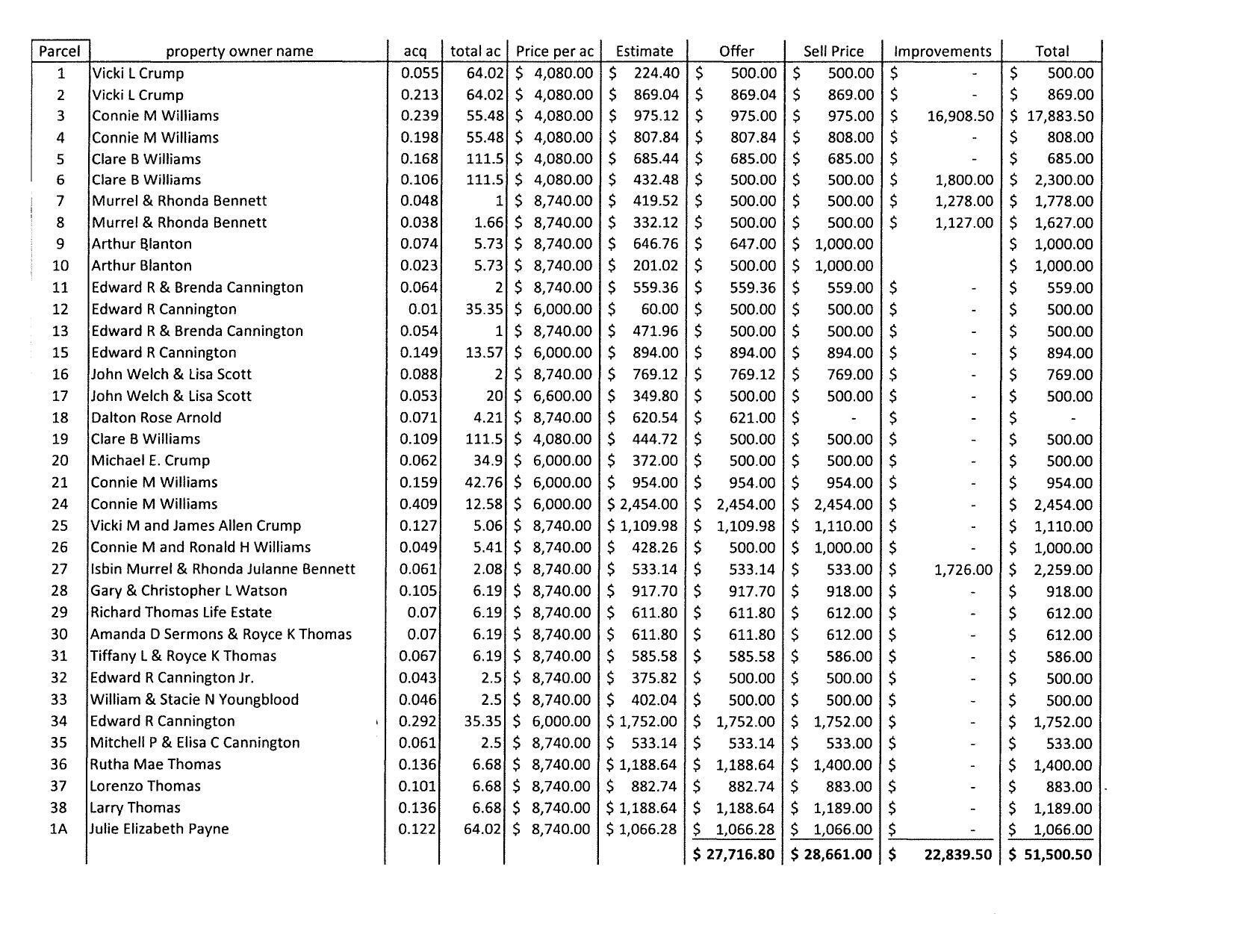
Table of property owners, acreages, prices, etc.

Approval of Briggston Road Right of Way Purchases
Packet: Wild Adventures glamping, AB Motorsports withdrawn, a road abandonment and RoW purchase, Clyattville Community Center, plus alcohol @ LCC
8 May 2023

 
Table of property owners, acreages, prices, etc.
smaller PDF