Lowndes Area Knowledge Exchange (LAKE)

[prev][index][next] [index to photographs]

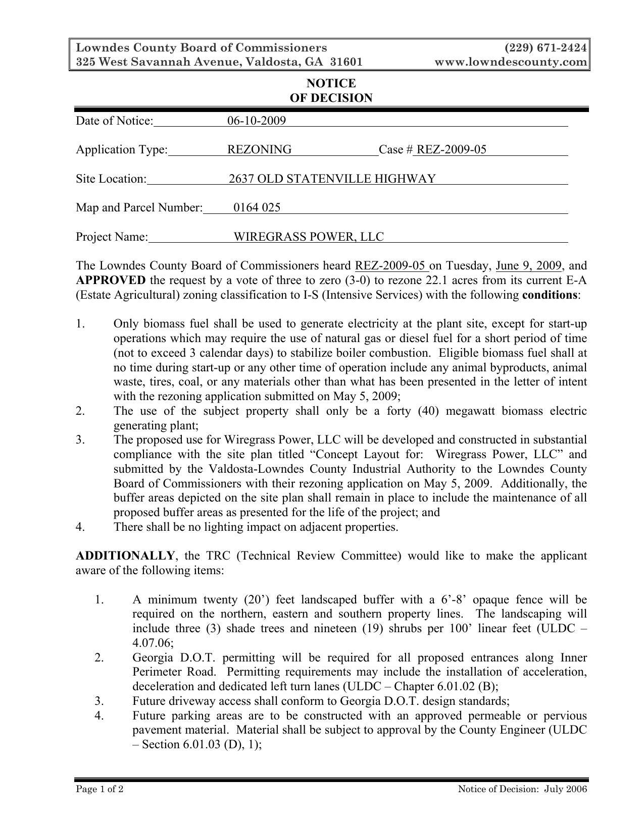
NOTICE OF DECISION 2009-06-10

REZ-2023-09 — South GA Boat and RV Storage, ~22 acres, 6153 Inner Perimeter, from I-S to C-H, Well & Septic
Packet: Complicated Library Board, ULDC amendments, Boat and RV Storage, Alapaha Plantation Water, Purchases houses by Griner Park, Insurance, LMIG @ LCC
10 July 2023

 
NOTICE OF DECISION 2009-06-10
smaller PDF