Lowndes Area Knowledge Exchange (LAKE)
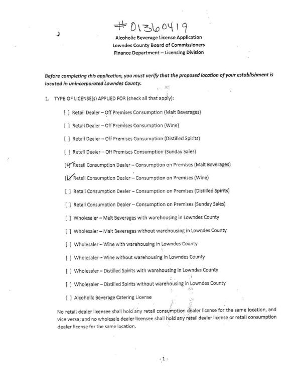
Alcoholic Beverage License Application
Beer and Wine License - John Michael Ricks and Cherry L. Trouille of The Fish Net, Inc., DBA The Fish Net Restaurant - 3949 Sportsman Cove, Lake Park, GA
Millage, Alcohol, and Animals @ LCC
21 August 2023
bigger
PDF
Photographs
by
Lowndes Area Knowledge Exchange (LAKE)
,
licensed by a
Creative Commons Attribution-Share Alike 3.0 U.S. License
.
Lowndes Area Knowledge Exchange (LAKE)